SteelcoGuj 500399 full analysis,charts,indicators,moving averages,SMA,DMA,EMA,ADX,MACD,RSI
Steelco Guj 500399 WideScreen charts, DMA,SMA,EMA technical analysis, forecast prediction, by indicators ADX,MACD,RSI,CCI BSE stock exchange
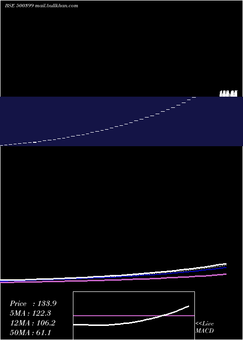
Daily price and charts and targets SteelcoGuj
Strong Daily Stock price targets for SteelcoGuj 500399 are 127.55 and 127.55
| Daily Target 1 | 127.55 |
| Daily Target 2 | 127.55 |
| Daily Target 3 | 127.55 |
| Daily Target 4 | 127.55 |
| Daily Target 5 | 127.55 |
Daily price and volume Steelco Guj
| Date | Closing | Open | Range | Volume | Wed 08 April 2026 | 127.55 (4.98%) | 127.55 | 127.55 - 127.55 | 0.3416 times | Tue 07 April 2026 | 121.50 (4.97%) | 121.50 | 121.50 - 121.50 | 0.4329 times | Mon 06 April 2026 | 115.75 (4.99%) | 115.75 | 115.75 - 115.75 | 0.4024 times | Thu 02 April 2026 | 110.25 (5%) | 110.25 | 110.25 - 110.25 | 0.5039 times | Wed 01 April 2026 | 105.00 (4.96%) | 105.00 | 105.00 - 105.00 | 0.4396 times | Mon 30 March 2026 | 100.04 (5%) | 100.04 | 100.04 - 100.04 | 1.373 times | Mon 23 March 2026 | 95.28 (4.99%) | 95.28 | 95.28 - 95.28 | 1.2141 times | Mon 16 March 2026 | 90.75 (5%) | 90.75 | 90.75 - 90.75 | 2.2726 times | Mon 09 March 2026 | 86.43 (4.99%) | 86.43 | 86.43 - 86.43 | 1.6841 times | Mon 02 March 2026 | 82.32 (5%) | 82.32 | 82.32 - 82.32 | 1.3358 times | Mon 23 February 2026 | 78.40 (5%) | 78.40 | 78.40 - 78.40 | 0.7169 times |
Weekly price and charts SteelcoGuj
Strong weekly Stock price targets for SteelcoGuj 500399 are 121.65 and 133.45
| Weekly Target 1 | 111.82 |
| Weekly Target 2 | 119.68 |
| Weekly Target 3 | 123.61666666667 |
| Weekly Target 4 | 131.48 |
| Weekly Target 5 | 135.42 |
Weekly price and volumes for Steelco Guj
| Date | Closing | Open | Range | Volume | Wed 08 April 2026 | 127.55 (15.69%) | 115.75 | 115.75 - 127.55 | 0.9032 times | Thu 02 April 2026 | 110.25 (15.71%) | 100.04 | 100.04 - 110.25 | 1.7778 times | Mon 23 March 2026 | 95.28 (4.99%) | 95.28 | 95.28 - 95.28 | 0.9317 times | Mon 16 March 2026 | 90.75 (5%) | 90.75 | 90.75 - 90.75 | 1.7441 times | Mon 09 March 2026 | 86.43 (4.99%) | 86.43 | 86.43 - 86.43 | 1.2925 times | Mon 02 March 2026 | 82.32 (5%) | 82.32 | 82.32 - 82.32 | 1.0252 times | Mon 23 February 2026 | 78.40 (5%) | 78.40 | 78.40 - 78.40 | 0.5502 times | Mon 16 February 2026 | 74.67 (4.99%) | 74.67 | 74.67 - 74.67 | 0.1843 times | Fri 06 February 2026 | 71.12 (33.94%) | 55.75 | 55.75 - 71.12 | 0.9058 times | Tue 27 January 2026 | 53.10 (10.21%) | 50.58 | 50.58 - 53.10 | 0.6852 times | Mon 05 January 2026 | 48.18 (4.99%) | 48.18 | 48.18 - 48.18 | 0.0441 times |
Monthly price and charts SteelcoGuj
Strong monthly Stock price targets for SteelcoGuj 500399 are 116.28 and 138.83
| Monthly Target 1 | 97.48 |
| Monthly Target 2 | 112.52 |
| Monthly Target 3 | 120.03333333333 |
| Monthly Target 4 | 135.07 |
| Monthly Target 5 | 142.58 |
Monthly price and volumes Steelco Guj
| Date | Closing | Open | Range | Volume | Wed 08 April 2026 | 127.55 (27.5%) | 105.00 | 105.00 - 127.55 | 0.0942 times | Mon 30 March 2026 | 100.04 (27.6%) | 82.32 | 82.32 - 100.04 | 0.35 times | Mon 23 February 2026 | 78.40 (47.65%) | 55.75 | 55.75 - 78.40 | 0.0949 times | Tue 27 January 2026 | 53.10 (15.71%) | 48.18 | 48.18 - 53.10 | 0.0422 times | Mon 29 December 2025 | 45.89 (54.98%) | 31.09 | 31.09 - 45.89 | 0.1169 times | Mon 24 November 2025 | 29.61 (21.45%) | 25.59 | 25.59 - 29.61 | 0.0566 times | Mon 27 October 2025 | 24.38 (1285.23%) | 15.00 | 15.00 - 24.38 | 0.0692 times | Mon 26 April 2021 | 1.76 (0.57%) | 1.67 | 1.53 - 1.76 | 3.1353 times | Mon 22 March 2021 | 1.75 (-7.89%) | 1.85 | 1.71 - 1.90 | 5.4278 times | Mon 22 February 2021 | 1.90 (-5%) | 2.00 | 1.90 - 2.10 | 0.613 times | Mon 25 January 2021 | 2.00 (-3.38%) | 2.17 | 1.97 - 2.25 | 7.3353 times |
Indicator Analysis of SteelcoGuj
Please login to view indicator analysis. or View indicator analysis of SteelcoGuj 500399 on MunafaSutra.com for free
DMA SMA EMA moving averages of Steelco Guj 500399
DMA (daily moving average) of Steelco Guj 500399
| DMA period | DMA value |
| 5 day DMA | 116.01 |
| 12 day DMA | 99 |
| 20 day DMA | 83.54 |
| 35 day DMA | 62.75 |
| 50 day DMA | 47.6 |
| 100 day DMA | 24.96 |
| 150 day DMA | 17.36 |
| 200 day DMA | 13.35 |
EMA (exponential moving average) of Steelco Guj 500399
| EMA period | EMA current | EMA prev | EMA prev2 |
| 5 day EMA | 116.5 | 110.97 | 105.7 |
| 12 day EMA | 101.13 | 96.33 | 91.75 |
| 20 day EMA | 87.7 | 83.51 | 79.51 |
| 35 day EMA | 68.66 | 65.19 | 61.87 |
| 50 day EMA | 50.73 | 47.6 | 44.59 |
SMA (simple moving average) of Steelco Guj 500399
| SMA period | SMA current | SMA prev | SMA prev2 |
| 5 day SMA | 116.01 | 110.51 | 105.26 |
| 12 day SMA | 99 | 94.29 | 89.81 |
| 20 day SMA | 83.54 | 79.57 | 75.79 |
| 35 day SMA | 62.75 | 59.77 | 56.93 |
| 50 day SMA | 47.6 | 45.08 | 42.69 |
| 100 day SMA | 24.96 | 23.71 | 22.52 |
| 150 day SMA | 17.36 | 16.52 | 15.72 |
| 200 day SMA | 13.35 | 12.73 | 12.13 |
Terms of Use Stock Market News! © mail.bullkhan.com2026 All Rights reserved.
